안녕하세요. 주식 관련 데이터를 분석하는 투자자 인천고래입니다.
아직도 자동매매를 만드느라 정신없이 시간을 보내고 있습니다.
오늘은 자료차원으로 글을 올려드리는 것이며
정리가 되는대로 매매기법도 공유드려볼까 합니다.
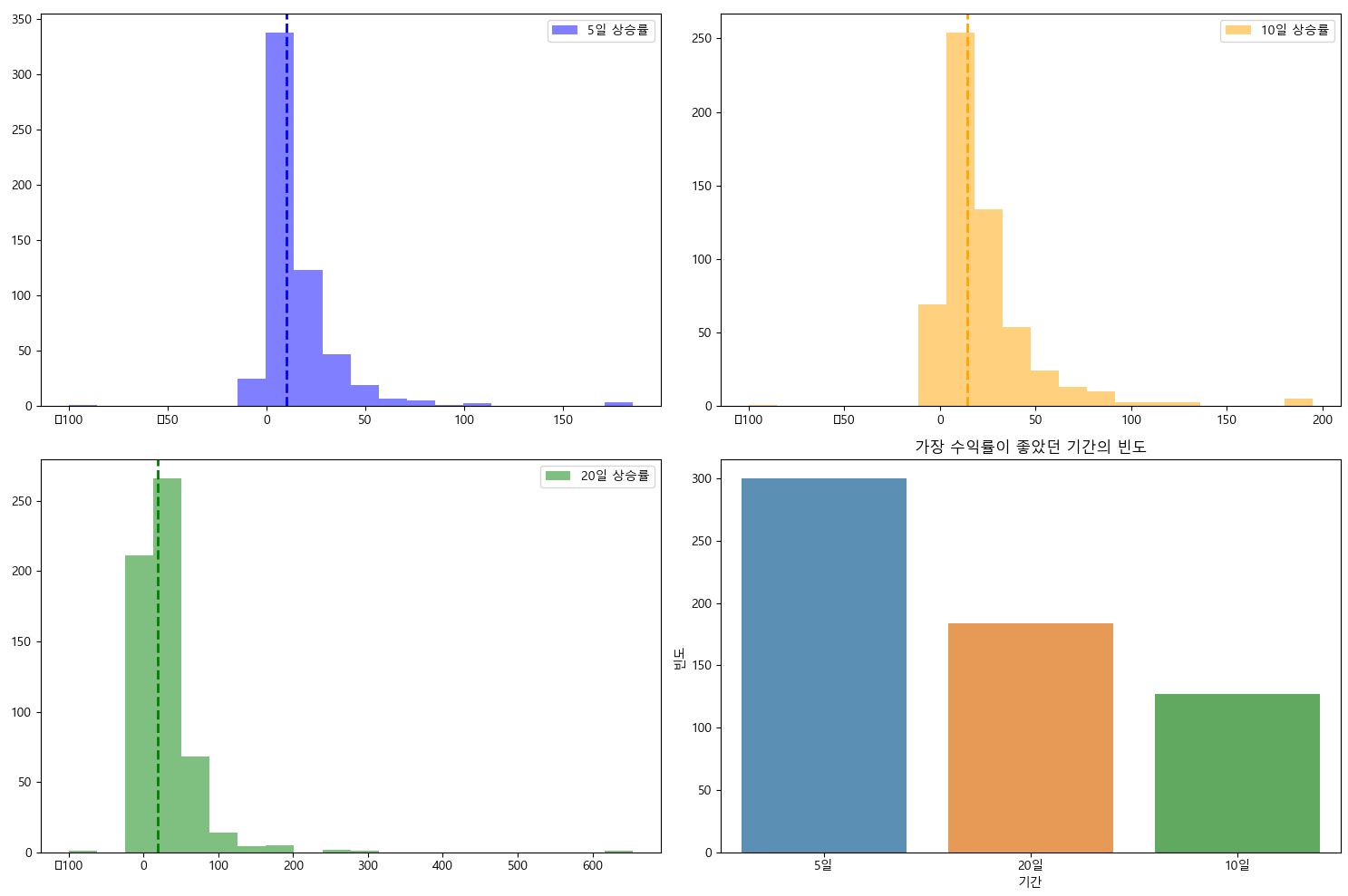
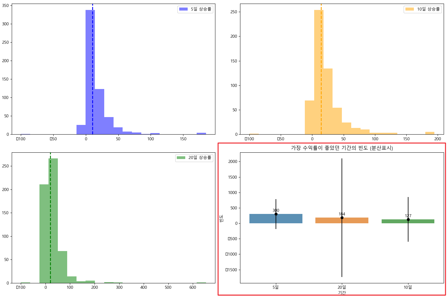
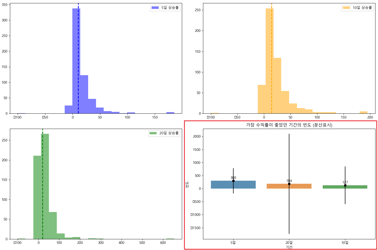
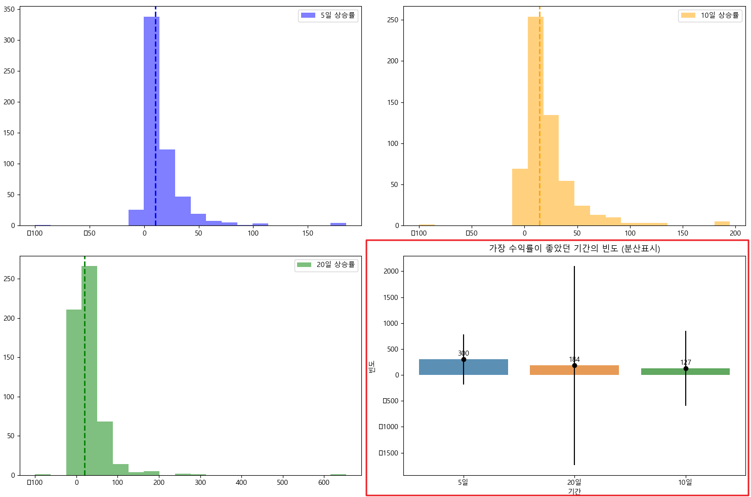
우선은 간략히 2023년도에 발생한 상한가 종목들을 대상으로 보유기간에 따른 상승률을 체크해 보았습니다.
빈도 바 차트 위에 수익률 분산을 나타내는 오차 막대(각 기간의 분산크기를 나타냅니다.)를 추가해서 빈도와 분산을 동시에 파악할 수 있도록 했습니다.

위의 그림만 보면 5일간 보유하는 것이 정답으로 보이네요.
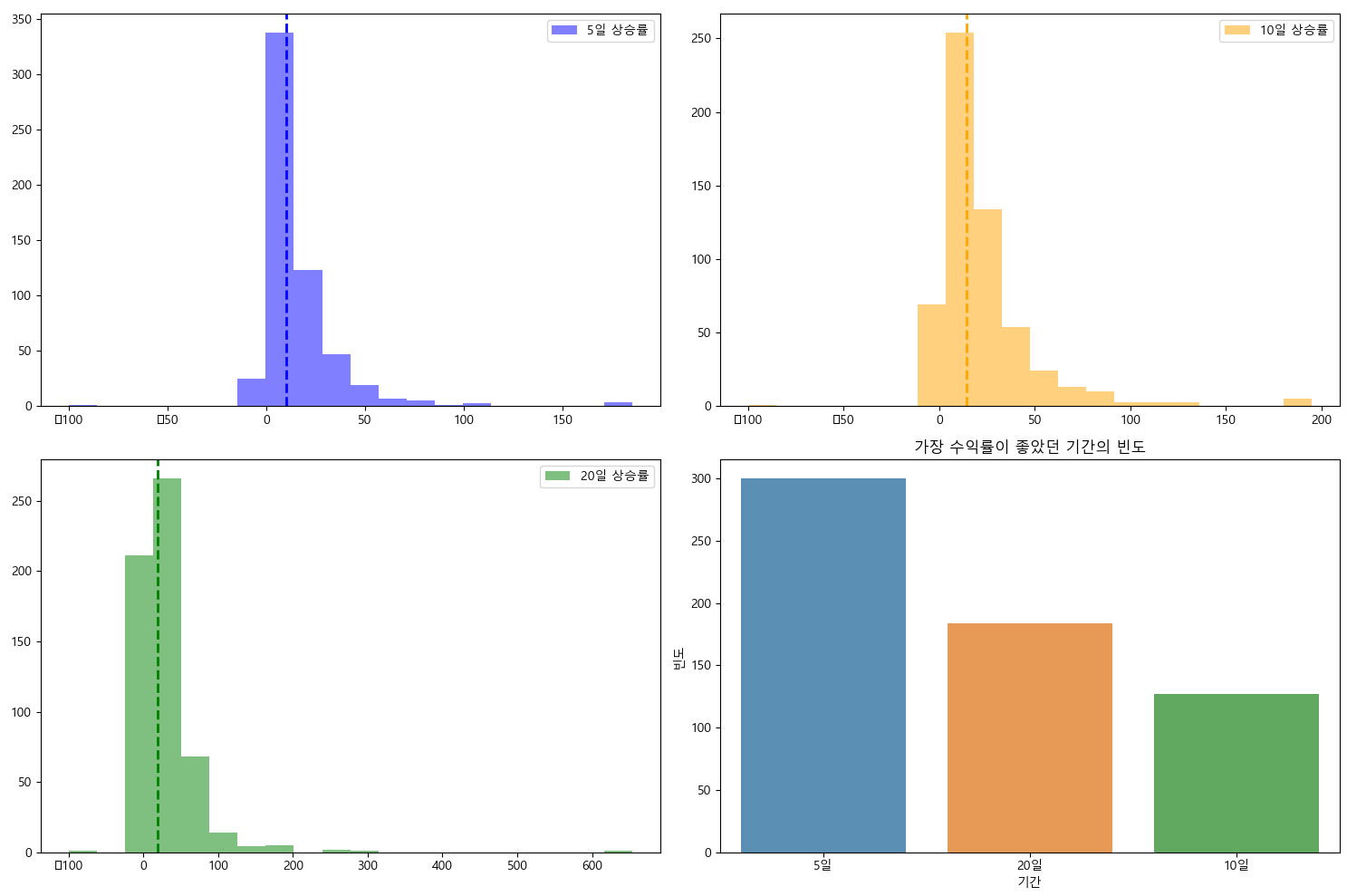
그러면 오차막대를 추가해서 한번 보도록 하겠습니다.
아래의 이미지의 우측하단 빈도차트를 한번 봐주세요.

해당 차트에 각 바차트 위에 가느다란 세로선이 있는 것이 보일 것입니다. (오차막대라고 부르겠습니다.)
오차막대의 길이로만 보면 5일 < 10일 < 20일 순으로 되어 있습니다.
오차 막대의 길이가 길다는 것은 해당 데이터의 퍼짐이나 변동성이 크다는 것을 의미하며 데이터가 중심으로부터 얼마나 많이 퍼져있는지를 보여줍니다.
예를 들어 위의 차트의 20일 기간 동안의 오차막대를 보면서 알 수 있는 것은
상한가 종목을 매수하고 20일 동안 보유를 하게 된다면 수익도 극대화될 수 있지만 손실도 극대화 될 수 있다는 이야기가 됩니다.
반대로 5일 동안 보유를 한다는 것은 상승 확률은 높고 하락 확률은 적다는 것으로 이해를 하면 될 것 같습니다.
※ 2023년도 상한가 종목을 날짜별로 구분해 놓은 파일도 올려드리오니 참고하실 분은 참고하시기를 바랍니다.
오늘은 간략히 이 정도로만 언급을 하겠으며
차후에는 좀 더 내실 있는 내용으로 글을 올려보도록 하겠습니다.
'매매 기법 > 상한가 눌림목 기법' 카테고리의 다른 글
| 주식 상한가 매매 눌림목 원리, 확률 90%, 인천고래 (feat. 대성에너지 117580) (0) | 2023.02.12 |
|---|---|
| 상한가 기준봉 매매법에 대해 알아보겠습니다. (0) | 2023.02.08 |